Де/ре-мистификация гикк.
11 марта 2026 г./Перевод/sorceryofthespectacle/ПЕРЕВОДЧИК:Рустам Тишков/145

Де/ре-мистификация гикк.

Игра в Декаданс с демонами
Оглавление

ДЕ/РЕ-Мистификация Нумограмы ГИКК ИЛИ – Вы тоже можете быть Гением.

Автор оригинала: https://www.reddit.com/r/sorceryofthespectacle/comments/125esps/arbitrary_numogram_creation_toolkit_you_too_can/


Четыре эссе объясняющие, и впоследствии мутирующие, матемо-мистический механизм Нумограма ГИКК.

Набор инструментов для создания произвольных Нумограм:

Вы тоже можете быть Гением!

Введение.

Вы могли подумать, что есть лишь один нумограм, Нумограм, созданный в рамках совместной работы между ГИКК и кристально-чистым метанфетамином. Больше нет! С этим невероятно бесполезным набором инструментов вы тоже сможете стать Гением, придавая произвольные значения однозначным числам в данной базовой системе счисления!
Теория строения Нумограма

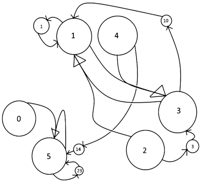
Посмотрите на этот граф:

Десятеричный Нумограм ГИКК с обложки их совместных работ

Почему я использую Нумограм с обложки книги? Что ж, многие версии этой диаграммы на самом деле неправильны! Из-за использования размытого изображения для воссоздания Нумограмы и незнания её заявленной структуры, цифра 15 вверху часто ошибочно принимается за 16, а маленькая цифра 3 часто ошибочно отображается как 8. Данная версия диаграммы является правильной.

Так как диаграмма структурирована? Прежде всего, она строится на десятеричной системе, самой популярной системе на Земле. Нужно ли это? Нет. Но это нужно. Большие круги сгруппированы в пары по принципу сизигии, гениальный способ сказать о том, что их сумма равна наибольшему однозначному числу в используемой системе, которое всегда равно числу (в данном случае, 10) минус – таким образом, сумма каждой пары здесь равна 9. Большая тёмная стрелка образует основную траекторию диаграммы и указывает на число, представляющую разницу между двумя значениями. (Например, 9-0=9, так что стрелка идёт от 0 и 9 к 9, или 5-4=1, где стрелка идёт от 5 и 4 к 1). Наконец, в малых, меньших кружках содержатся первые девять треугольных чисел. Они начинаются с того большого числа, которое является индексом этого треугольного числа (например, 45 – 9-ое треугольное число, поэтому 45 исходит от 9) и движутся к тому числу, которое является суммой целых чисел этого треугольного числа (например, 28 становится 2+8=10, и 10 становится 1+0=1, поэтому 28 переходит к 1).

Наконец, для записи терминологии, пара 9:0 зовётся Plex регионом, пара 6:3 зовётся Warp регионом, и центральные шесть зон в совокупности образуют Torque регион, определяемый наличием кругового потока внутри их структуры. Plex регион, в широком смысле, зона, состоящая из 0 и его партнёра в любой системе счисления, тогда как Warp регион не всегда присутствует, но когда он есть, он определяется как пара a:b, удовлетворяющая отношению b=2a. Поскольку b и a должны суммироваться до наибольшего числа в системе (9 в десятеричной, 11 в двенадцатеричной, 7 в восьмеричной и т.д.), это значит, что Warp регион существует только в N-значных системах, так что N=3M+1, где М должно быть нечётным, поскольку Нумограм существует только для чётных чисел. Первые несколько систем удовлетворяющих этому отношению – это четвертичная, десятеричная, шестнадцатеричная, двадцатидвухричная и двадцативосьмеричная системы.

Теперь, когда мы знаем правила строения десятеричного Нумограма, мы можем добавить больше правил для создания бесконечного множества произвольных Нумограм, для максимального Гения. Во-первых, мы можем выбрать только чётные системы. Это нужно для исключения самосопостовляющихся чисел (что ГИКК категорически осуждает) при создании сизигических пар.

Во-вторых, суммирование целых чисел должно выполняться в рамках используемой системы счисления, чтобы предотвратить произвольные бессмысленные диаграммы. (Например, 9-ое треугольное число – 45 в десятеричной системе, но 39 в двенадцатеричной, и 33 в четырнадцатеричной, и 2d в шестнадцатеричной и т.д. 4+5=9 в десятеричной, 3+9=10 в двенадцатеричной, 3+3=6 в четырнадцатеричной, 2+d=f в шестнадцатеричной и т.д.)

Пример.

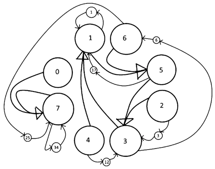
Теперь, когда вы знаете как создать ваш собственный произвольный N-значный Нумограм, давайте взглянем на пример:

Уродливый, но правильный двенадцатеричный Нумограм

(Малые потоки обозначены более мелкими линиями и кругами, а большие потоки – более крупными линиями с треугольниками, направленными к их концу. Все числа представлены в двенадцатеричной системе счисления).

Как видите, это диаграмма следует тем же правилам, что и Нумограм ГИКК, но базируется на другой системе. Она содержит все однозначные числа, существующие в двенадцатеричной системе (0, 1, 2, 3, 4, 5, 6, 7, 8, 9, а, b), и использует двенадцатеричные суммы для треугольных чисел (8-ое треугольное числа – 36 в десятеричной системе, и, следовательно, из 8 следует 3+6=9, но 8-ое треугольное число – это 30 в двенадцатеричной системе, отсюда следует 3+0=3).

Что мы можем выучить из этого примера?

Заметьте то, что двенадцатеричный и десятеричный Нумограмы имеют некоторые общие структурные особенности, соответствующие оккультизму ГИКК. В десятеричном Нумограме пары 0:9 и 3:6 обе находятся вне основных потоков временной цепи. Пара 0:9 образует Plex регион в десятеричном Нумограме, когда 3:6 образует Warp регион. Три оставшиеся пары, подчиняющиеся обычным основным потокам времени, образуют Torque регион. В двенадцатеричном Нумограме мы видим, что основные потоки времени приходятся на числа 0, 2, 4, 6, 8 и а, но никогда не идут внутрь. Аналогично, мы видим, что пара 0:b образует однонаправленный самопоглощающийися поток времени, подобно парам 0:9 и 3:6 в десятеричном Нумограме. Наконец, мы можем отметить, что 1, 3, 5, 7, 8 и b имеют основные потоки времени, входящие и выходящие из них.

Соответствия в числовых потоках между десятеричным и двенадцатеричным Нумограмами создают ситуацию, которая содержит как концепции, согласующиеся с оккультизмом ГИКК, так и концепции, идущие своим собственным путём. В двенадцатеричном Нумограме присутствует только Plex регион (0:b), который является единственным самопоглощающимся однонаправленным потоком времени в двенадцатеричном Нумограме, где нет Warp региона. Новый регион показывает себя, впрочем, в виде пяти внешних чётных областей, которые создают основной поток времени, но никогда его не поглощают. Этот регион, состоящий из чётных половин пар сизигий, является «Архетипическим» измерением, на оккультном языке, в то время как пять внутренних нечётных чисел, соединённых с ними, образуют правильный Torque регион этого Нумограма, временную цепь для двенадцатеричной системы. Ассоциация планет и зон в ГИКК-овском десятеричном Нумограме можно сравнить с ассоциацией знаков зодиака и зон двенадцатеричного Нумограма.

Совершенно вне рамок оккультизма ГИКК можно отметить, что потоки 10 пар сизигий, не связанных с Plex, напоминают творческие потоки У-Син, где каждая из пар а:1, 9:2, 8:3, 7:4 и 6:5 соответствуют китайскому элементу, а пара 0:b соответствует Тайци.

Несколько структурных сходств и различий в записи между десятеричным и двенадцатеричным Нумограмами касательно малых потоков. В десятеричном Нумограме малые потоки входят в Plex и Warp регионы из Torque, но никогда не входят в Torque из Plex или Warp. Это делает их чем-то похожими на водовороты со своими собственными, меньшими по размеру временными цепями, чем регионы за пределами времени, как их описывает ГИКК. Архетипическое начало производит и принимает малые потоки, что несколько отличает его от Plex и Warp десятеричного Нумограма. Есть две «точки входа» малых потоков в диаграмме, коими являются зоны 6 и 4. Хотя зоны 6 и 4 находятся снаружи основных потоков времени, они получают два малых потока от региона Torque – 6 получает 24 от зоны 7, и 6 от зоны 3, когда 4 получает 13 от зоны 5. Эти «точки входа» - основополагающий принцип магии, поскольку они позволяют человеку, имеющему «доступ» к зонам 3, 5, и 7 проецировать влияние через малые потоки в более мощные Архетипические зоны через зону 4 или зону 6. Это влияние переносится малыми потоками в зону а, и, таким образом в регион Plex. Из зоны 4, зоны 6 и зоны а, влияние распространяется через основные потоки в другие части Torque, пока все компоненты центральной временной цепи не понесут в себе определённую степень влияния магического внушения. Аналогично, юнгианская синхронность проходит через «выходные точки» Архетипичности, где малые потоки из этой области входят в Torque. А именно, зона 3, которая получает поток 3 из зоны 2, и поток 30 из зоны 8. Времяебля, о которой говорят в ГИКК, осуществляется через поток 39, который идёт против основного потока времени, идущего из зоны 9 в зону 1, несмотря на то, что основной поток времени идёт из зоны 1 и зоны а в зону 9. ГИКК-овский десятеричный Нумограм почти содержит архитепический регион, содержащийся в зонах 2, 4 и 8, но малые потоки не входят в эти зона, что делает их полностью вне влияния малых временных потоков. Это противоречит принципу магии, изложенному в трудах ГИКК, хотя принцип ретроактивной причинности остаётся нетронутым, поскольку малый поток из зоны 7 в зону 1 противоречит основным потокам временного цикла в их десятеричном Нумограме. Тем не менее, существует явное и интересное различие в типах магической теории, которые способна воспроизвести каждая диаграмма.

Заключение.

Используя этот бесплатный концептуальный инструментарий и пример двенадцатеричного Нумограма, вы тоже можете создать свой Нумограм с любой произвольной чётной системой! Идите вперёд, и будьте провозглашены зависимым от мета Гением!

Приложение А: Больше Нумограм.

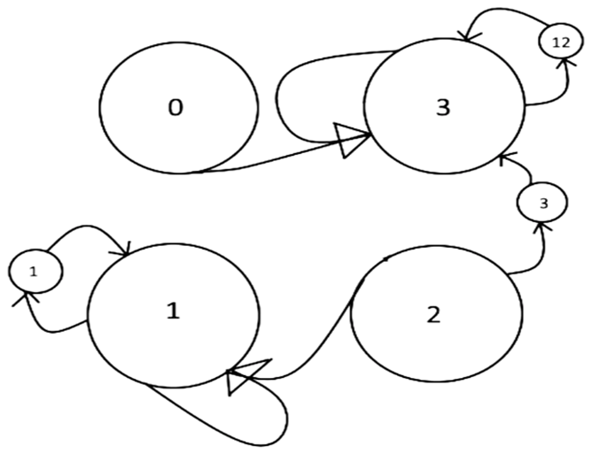
Двоичный Нумограм


Наименьший из возможных, содержащий только Plex регион.

Четвертичный Нумограм


Самый маленький с входными зонами малых потоков, а также самый маленький с обоими Plex и Warp регионами, которые составляют весь Нумограм

Шестеричный Нумограм


Наименьший с Torque (временная петля) регионом, содержащий также Plex регион.

Восьмеричный Нумограм


Содержит Torque и Plex регионы, подобен шестеричному Нумограму, и имеет шесть Torque зон, как в десятеричном Нумограме.

Четырнадцатеричный Нумограм


Содержит 6 Torque пар и Plex регион. В особенности, это значит, что из всех Нумограм, от двоичного до четырнадцатеричного, только оригинальный десятеричный и четвертичный имеют Plex и Warp регионы, нежели один Plex. Это так, поскольку 3 и 9 (наибольшее целое число в каждой системе) кратны 3. Это может значить то, что следующий Нумограм с Plex и Warp регионами должен быть шестнадцатеричным, поскольку наибольшим числом в нём будет 15.

Приложение В: Необычные Нумограмы.

Чем больше вы расширяете систему, тем более необычные свойства обнаруживаются в Нумограме. Для примера, в двадцативосьмеричном Нумограма есть не три типа региона, но четыре. Двадцативосьмеричный Нумограм имеет Plex регион (27:0 →27) и Warp регион (9:18 →9), а также большой Torque регион (1:26→25, 25:2→23, 23:4→19, 19:8→11, 11:16→5, 5:22→17, 17:10→7, 7:20→13, 13:14→1). Впрочем, есть также и второй, малый Torque регион, которого нет на привычных Нумограмах. Этот Torque регион (3:24→21, 21:6→15, 15:12→3) размером в шесть зон, как сингулярный Torque в оригинальном десятеричном Нумограме. Таким образом, двадцативосьмеричный Нумограм имеет как два не-темпоральных региона, так и два темпоральных, независимых друг от друга с точки зрения больших временных потоков диаграммы. Это означает, что две области, Torque-А и Torque-В, представляют собой взаимосвязанные, но в значительной степени независимые системы времени, или, если угодно, параллельные временные цепи.

Очень большие Нумограмы могут содержать много параллельных Torque регионов, поскольку чем крупнее система, тем больше ожидается особых Torque. Для примера, относительно большой восьмидесятидвухричный Нумограм имеет три независимых Torque региона. Torque-А длиной в 27 пар зон, в то время как Torque-В состоит из 9 пар зон, и Torque-С из 3 пар зон.

Основываясь на моих ограниченных изучениях основных временных потоков в (3М+1)-значном Нумограме, Torque регионы видимо встречаются в (раковинах), смутно напоминающих заполнение электронных орбиталей. Правило для длины петли Torque региона в (3М+1)-значной системе, по-видимому, связано со степенью трёх. Так, для примера, четвертичный Нумограм (3^1+1) имеет 0 Torque регионов, в то время как десятеричный Нумограм (3^2+1) имеет 1 Torque с 3=3^1 парами. Также с двадцативосьмеричным Нумограмом (3^3+1), который имеет 2 Torque региона, где в Torque-A имеется 3^2=9 пар, а в Torque-B имеется 3^1=3 пар, как было сказано выше, в восьмидесятидвухричном Нумограме (3^4+1) есть 3 Torque региона, где Torque-A имеет 3^3=27 пар, Torque-B имеет 3^2=9 пар, и Torque-С имеет 3^1=3 пар.

Общее правило для Torque Нумограма, по-видимому, заключается в том, что если Нумограм имеет ((3^N)+1)-значную систему, то он будет иметь N-1 Torque регионов, где наибольший регион будет иметь 3^(N-1) пар, следующий наибольший будет иметь 3^(N-2) пар, и так далее. Примечательно, что восьмидесятеричный Нумограм, хотя и примыкает к восьмидесятидвухричному, содержит лишь регион Plex и один очень длинный регион Torque, что предполагает, что только Нумограмы с ((3^N)+1)-значной системой имеют несколько Torque, что не гарантировано.

Приложение С: Предварительная Демонология.

В рамках ГИКК демоны рассматриваются как нехронологические врата между различными зонами Нумограма. Демоны делятся на три основных типа и четыре дополнительных подтипа. Три основных типа – Хронодемоны, соединяющие две зоны внутри Torque, Амфидемоны, которые соединяют Warp и Plex с Torque, и Ксендомены, соединяющие зоны исключительно за пределами Torque. Ксенодемоны подразделяются на хаотических, соединяющих зону Warp и Plex, и сизигических, соединяющих зоны внутри Warp или Plex, но не между ними. Хронодемоны также подразделяются на циклических, соединяющих не-сизигические зоны Torque, и сизигических, соединяющих сизигические зоны Torque. Общее число демонов – это треугольное число, соответствующее наибольшему номеру зоны конкретного Нумограма – в случае оригинального десятеричного Нумограма число демонов составляет 45. Это, например, дало бы двенадцатеричному Нумограму 66 демонов, а двоичному только 1.

Обобщение этой концепции на все Нумограмы позволяет сохранить их различные типы и подтипы, со специальными расширениями типа Хронодемона для Нумограм с несколькими различными зонами Torque. Единственной частью концепции, требующей пересмотра для каждой Нумограмы, будут оккультные соответствия демонов. Например, в оригинальном Нумограме существует 12 циклических Хронодемонов, соответствующих 12 знакам зодиака.

Наконец, существует один особый типа демона, определяемый числами его двух зон, где любой демон, сумма чисел которого равна числу основания (10 в случае оригинального Нумограма, 12 для двенадцатеричного, и т.д.), является свойственным обычным демоническим типом, но также и Декадемоном. Это название подходит только для оригинального Нумограма, поскольку его можно перевести как «Десять Демон», что можно обобщить до Нумодемона («Число Демон») для всевозможных Нумограм. Оригинальная Нумограма имеет 4 Нумодемона, остылающих к 4 Зоа*, согласно ГИКК.

* «Вала, или четыре Зоа» - сборник поэм Уильяма Блейка о богах-эманациях, четырёх Зоа, которые являются главными героями. Каждый герой соответствует христианскому образу, например: Уризен (Сатана и человеческий Разум), Лува (Сын Божий, любовь человека), Тармас (Бог-Отец, чувства и ощущения, инстинкты человека) и Уртона (Святой Дух, воображение и интуиция человека). Каждый из персонажей имеют свою эманацию в отдельных персонажей.

Приложение D: Послесловие.

Если мы собираемся изучать Нумограм со всей серьёзностью, мы не сможем ограничивать себя произвольными версиями Нумограма. Нам следует изучать их как класс оккультных метафор, а не как единый объект, поскольку ничто не делает десятеричную Нумограму уникальной среди бесконечного множества возможных Нумограм. Они обладают схожими характеристиками: многие имеют временную цепь, и все пять приведённых примеров имеют регион на подобие Plex. Мы можем изучать их как класс математических объектов, класс оккультных метафор, класс гиперверительных диаграмм и т.д. Ценность использования более чем одной Нумограмы заключается в расширении метафоры, обнаружении новых особенностей в Нумограмах более высокого порядка (например, все ли шестеричные и выше Нумограмы регион Torque? Если нет, то почему?).
Толкование демонологии ГИКК

Введение.

Если вы его не видели, обратитесь к оригинальному тексту для бесполезного руководства по обобщению Нумограма, а также более полезное руководство по оригинальному Нумограму. Этот текст, если вы не прочтёте его предварительно, будет, по меньшей мере, частично бессмысленным набором символов, а не полным набором символов, как предполагалось.

Это – бесполезное руководство по демонологии ГИКК. Из-за сложности темы обобщение этих принципов придётся отложить до третьей части, которая будет включена в комплект поставки этого и предыдущих текстов без дополнительной платы, по цене, примерно равной двадцати часам потенциально потраченного впустую времени. Но для вас, читателей, это будет гораздо дешевле!

Основное.

ГИКК экзотерически разделяют демонов на пять типов, но я разделяю на шесть (см. типы демонов), поскольку они сами эзотерически разделили их на шесть (см. определение карт). Однако прежде чем это сделать, нам нужно поговорить о демонических атрибутах. Демоны обладают четырьмя особыми атрибутами, которые, в свою очередь, подразделяются на податрибуты. Эти четыре основных атрибута – номер обозначение, питч (высота звука), карта Декаданса и ритуал. Существует два типа номеров обозначения: Mesh-Number (номер ловушки, сети) и Net-Span (диапазон сети). Net-Span определяет Mesh-Number (см. Demonic Numbo-Jumbo). Питч определяется Mesh-Number и картой Декаданса (см. Детерминация Питча). Ритуалы определяются Mesh-Number, и для каждого демона существует переменное число. Поскольку объяснение каждого ритуала по отдельности займёт слишком много времени, я предоставлю вам инструменты, необходимые для определения причин, по которым каждый ритуал именно таков, каков он есть (см. Определение ритуала).

Декаданс и Субдекаданс.

Чтобы понять карту детерминаций, мы должны сперва понять Декаданс и Субдекаданс. Это эзотерические карточные игры, в которые играют, чтобы поклоняться демонам и ангелам, и правила просты.

Декаданс.

Возьмите любую полную колоду карт и возьмите только пронумерованные карты от туза (1) до 9, всего 36 карт. Перетасуйте их, затем выложите пять карт лицевой стороной вверх в форму креста (одна посередине, одна слева, одна справа, одна вверху, одна внизу). Возьмите ещё пять карт и положите их прямо перед собой в ряд лицевой стороной вниз. Переворачивайте карты по одной, стараясь сопоставить их с картами креста, чтобы образовать пары, сумма которых равна 10. После этого счет рассчитывается следующим образом: каждая пара карт даёт сумму, основанную на разности их членов (например, пара 9:1 дает 9-1=8 очков, а пара 8:2 дает 8-2=6 очков), каждая непарная карта вычитает своё значение из счёта (например, непарная 9 вычитает 9 очков, непарная 6 вычитает 6 очков). Игра продолжается до тех пор, пока раунд не закончится отрицательным счётом, затем суммируйте счёт за все раунды. Отрицательный общий балл может составлять минимум -44, в то время как положительный балл теоретически может быть бесконечным. Положительный балл соответствует степени благоприятности удачи для игрока, а отрицательный – Mesh-Number демона (-44 соответствует демону с Mesh-Number 44, и т.д.).

Субдекаданс.

Добавьте четыре королевы в свою колоду (теперь в ней 40 карт), которые обозначают 0. Игра проходит так же, как и в “Декадансе”, за исключением того, что теперь вы пытаетесь сложить карты до 9, а не до 10. Это считается величайшим кощунством, вероятно, потому что в молекуле амфетамине 10 неводородных атомов, а не 9. Демоны и благосклонность подсчитываются аналогичным образом.

Demonic Numbo-Jumbo.

Net-Span демона содержит числа двух зон Нумограма, которые тот соединяет, где наибольшее число всегда идёт первее. (Например, 2::0 – правильный Net-Span, но 0::2 неправильный). Это объясняется тем, что поток демонов Нумограма упорядочен, всегда от большего к меньшему.
Числа Net-Span упорядочены последовательно по размеру их первой (наибольшее число) зоны, а затем по размеру их второй (наименьшее число) зоны. Таким образом, 1::0 – это первое число Net-Span, поскольку это первая конфигурация чисел от 0 до 9, в которой есть два различных числа, и в которой первое число больше. Второе число Net-Span – 2::0, третье – 2::1, четвёртое – 3::0, пятое – 3::1, шестое 3::2 и так далее. Такой порядок чисел генерирует Mesh-number.

Опоры.

Пять областей “атлантического креста” (форма креста, которую вы образовываете в Декадансе и Субдекадансе) зовутся опорами.

Зоны с чётными номерами представляют собой “тёмные/неактивные/затмеваемые” [инь] аспекты опоры, а зоны с нечётными номерами являются “светлыми/активными/явными” [ян] аспектами опоры.

Опора 1: центральная секция атлантического креста, соответствующая зоне 1 и зоне 8. Возможно под властью демона 8::1.

Опора 2: правая секция атлантического креста, соответствующая зоне 2 и зоне 7. Возможно под властью демона 7::2.

Опора 3: левая секция атлантического креста, соответствующая зоне 4 и зоне 5. Возможно под властью демона 5::4.

Опора 4: верхняя секция атлантического креста, соответствующая зоне 6 и зоне 3. Возможно под властью демона 6::3.

Опора 5: нижняя секция атлантического креста, соответствующая зоне 0 и зоне 9. Возможно под властью демона 9::0.

Знание об опорах станет важным для карточных детерминаций.

Типы демонов.

Существует три основных класса демонов: Хронодемоны, Амфидемоны и Ксенодемоны. Хронодемоны определяются наличием Net-Span цифр, полностью находящийся в Torque регионе. Амфидемоны определяются наличинем Net-Span цифр как в регионе Torque, так и в регионе Plex или Warp. Ксенодемоны определяются отсутствием Net-Span в Torque регионе.
Хронодемоны официально делятся на циклических и сизигических, где сизигические Хронодемоны это те, чей Net-Span соответствует сизигии внутри Torque (например, 8::1, поскольку 8+1=9), а циклические Хронодемоны – это те, которые не соответствуют сизигии.

Ксенодемоны официально делятся на хаотических, которые соединеняют Plex и Warp, и сизигических, соединяющий сизигические зоны внутри Plex или Warp.

Амфидемоны скрыто и неофициально делятся на Plex-Амфидемонов и Warp-Амфидемонов, что очевидно из их детерминации карт. Plex-Амфидемоны – это те, которые связывают Torque и Plex, а Warp-Амфидемоны – те, которые связывают Torque и Warp.

Есть 12 циклических Хронодемонов, 3 сизигических Хронодемона, 12 Plex-Амфидемонов, 12 Warp-Амфидемонов, 4 хаотических Ксенодемона и 4 сизигических Ксенодемона, всего 45 демонов. Только 36 из них официально соответствуют картам, используемых в игре Декадансе.

Детерминация Карт.

Карты Декаданса имеют формальный список соотношений карт Net-Spen:

Мj+1C (8::2) Циклический Хронодемон
Mn-1D (7::1) Циклический Хронодемон
Мj-1S (8::7) Циклический Хронодемон
Mn+1H (2::1) Циклический Хронодемон
Мj+2C (7::4) Циклический Хронодемон
Mn-2D (5::2) Циклический Хронодемон
Мj-2S (7::5) Циклический Хронодемон
Mn+2H (4::2) Циклический Хронодемон
Мj+3C (4::1) Циклический Хронодемон
Mn-3D (8::5) Циклический Хронодемон
Мj-3S (5::1) Циклический Хронодемон
Mn+3H (8::4) Warp-Амфидемон
Мj+4C (8::3) Warp-Амфидемон
Mn-4D (6::1) Warp-Амфидемон
Мj-4S (8::6) Warp-Амфидемон
Mn+4H (3::1) Warp-Амфидемон
Mj+5C (7::3) Warp-Амфидемон
Mn-5D (6::2) Warp-Амфидемон
Mj-5S (7::6) Warp-Амфидемон
Mn+5H (3::2) Warp-Амфидемон
Mj+6C (4::3) Warp-Амфидемон
Mn-6D (6::5) Warp-Амфидемон
Mj-6S (5::3) Warp-Амфидемон
Mn+6H (6::4) Warp-Амфидемон
Mj+7C (1::0) Plex-Амфидемон
Mn-7D (9::8) Plex-Амфидемон
Mj-7S (8::0) Plex-Амфидемон
Mn+7H (9::1) Plex-Амфидемон
Mj+8C (2::0) Plex-Амфидемон
Mn-8D (9::7) Plex-Амфидемон
Mj-8S (7::0) Plex-Амфидемон
Mn+8H (9::2) Plex-Амфидемон
Mj+9C (4::0) Plex-Амфидемон
Mn-9D (9::5) Plex-Амфидемон
Mj-9S (5::0) Plex-Амфидемон
Mn+9H (9::4) Plex-Амфидемон

Сейчас это звучит как целая куча лишнего, но есть способ перейти от Net-Span к атрибуции карт. Но сначала, что обозначает вся эта тарабарщина? Mj – сокращенно от Major (старший) и является “ритуальным типом” демона, связанным с мастями крести и пик в колоде карт. Mn – сокращенно от Minor (младший), является другим ритуальным типом, связанным с мастями бубен и червей. “Минус” – это полярность-питч демона, связанная с мастями бубен и пик. “Плюс” – иная полярность-питч, и связана с крести и червей. “Н” сокращение от Hearts (черви), “С” от Clubs (крести) и так далее. Число, предшествующее букве масти, – это номер карты в этой масти. Таким образом, Mj+ – это крести, Mj- – это пики, Mn+ – это черви, а Mn- – это бубны.

Чтобы перейти от Net-Span к конкретной карте, сначала нужно определить, какому номеру карты что соответствует. Это оказывается довольно просто по меркам ГИКК. Девять карт каждой масти разделены на триады. Первая триада (1, 2, 3) состоит из циклических Хронодемонов, вторая (4, 5, 6) – из Warp-Амфидемонов, а третья (7, 8, 9) – из Plex-Амфидемонов. Внутри каждой триады карты располагаются в определённом порядка. Дело в том, что карты 1, 4 и 7 (первые в своих триадах) должны содержать 1 или 8, соответствующие зонам первой опоры. Карты 2, 5 и 8 (вторые в своих триадах) должны содержать 2 или 7, соответствующие второй опоре. Карты 3, 6 и 9 (третьи в своих триадах) должны содержать 4 или 5, соответствующие третьей опоре. Порядок циклических Хронодемонов имеет дополнительный шаг, поскольку первый (карта 1) должен содержать связь как с опорой 1, так и с опорой 2, второй (карта 2) должен содержать связь с опорой 2 и опорой 3, а третий (карта 3) должен содержать связь с опорой 3 и опорой 1. С помощью этого “простого” набора инструкций вы можете разделить свои 36 карт-демонов на числа, причём для каждого числа у вас будет по 4 демона.

Далее мы можем определить тип ритуала. Это определяется “крючком” демона. То есть числом, помещающим его в соответствующую опору (например, для 1, 4 или 7 — 8 или 1, поскольку это число “цепляет” его к первой опоре). Посмотрите, идёт ли этот “крючок” первым или вторым. Если он идёт первым, вы имеете дело с мастью старших (Mj), хотя мы пока не знаем, какой именно. Если он идёт вторым, демон находится в масти младших (Mn), хотя мы опять же не знаем, какой именно. (Например, 8::2 соответствует старшей масти, поскольку это 8 и 2, связывающие его с опорой 1 и опорой 2, что делает его картой-1 в той масти, к которой он принадлежит, и, соответственно, мы замечаем, что 8 предшествует 2, что делает его картой старшей масти).

Наконец, мы определяем питч-полярность или питч-высоту. Это определяется между двумя картами каждого числа в пределах мастей Mj или Mn (то есть, у вас должно быть четыре демона для каждого числа, но только два для каждого числа и типа Mn/Mj, если вы хотите рассмотреть две карты с одинаковым типом ритуала одного и того же числа). В пределах одного числа и типа ритуала вы можете определить, какая карта имеет положительный (+) питч, а какая отрицательны (-), сложив две цифры соответствующей Net-Span и посмотрев, какая больше. Большая сумма соответствует отрицательному (-) питчу, а меньшея – положительному (+), что позволяет определить конкретную масть для каждой карты. (Например, 8::2 соответствует старшей масти, поскольку это 8 и 2, связывающие его с опорой 1 и опорой 2, что делает его картой-1 в той масти, к которой он принадлежит, и, соответственно, мы замечаем, что 8 предшествует 2, что делает его картой старшей масти. Затем мы отмечаем, что есть ещё один демон Mj-1, у которого Net-Span 8::7, 8+7=15 и 8+2=10, поэтому демон 8::7 – это 1Mj-, или 1 пик, а демон 8::2 – 1Mj+, или 1 крести).

Это позволяет нам идеально классифицировать всех 36 демонов Декаданса по их картам. Из оставшихся демонов, сизигический Хронодемон 5::4 является последним, имеющим формальную связь с картой: картой Джокера, которая не используется в Декадансе. Однако всего существует три сизигических Хронодемона, и ни один из них не присутствует в 36 формальных ассоциациях Декаданса. Эти три (5::4, 7::2, 8::1), вероятно, все эзотерически связаны с картами Джокера, а не только демон 5::4, поскольку в средней колоде игральных карт есть 3 Джокера. Аналогично, четыре хаотических Ксенодемона (3::0, 6::0, 9::3, 9::6) возможно эзотерически связаны с четырьмя королевами Субдекаданса. Если это так, то 3::0, вероятно, является королевой крести, поскольку 3::0 имеет (+) питч, а 0 встречается только в мастях Mj, 6::0, вероятно, является королевой пик, поскольку 6::0 имеет (-) питч, а 0 встречается только в мастях Mj, 9::3, вероятно, является королевой червей, поскольку 9::3 имеет (+) питч, а 9 встречается только в мастях Mn, и, наконец, 9::6, вероятно, является королевой бубен, поскольку имеет (-) питч, а 9 встречается только в мастях Mn. Нет никакой возможности связать двух оставшихся демонов (6::3, 6::9) с Декадансом или Субдекадансом.

Определние питча.

Питч Демоны Тональность
Ana-7 (4::3) 7
Ana-6 (4::2) 6
Ana-5 (3::2)(4::1) 5
Ana-4 (3::1)(4::0)(9::4) 4
Ana-3 (2::1)(3::0)(8::4)(9::3) 3
Ana-2 (2::0)(7::4)(8::3)(9::2) 2
Ana-1 (1::0)(6::4)(7::3)(8::1)(9::1) 1

Null (5::4)(6::3)(7::2)(8::1)(9::0) 9
Cth-1 (5::3)(6::2)*(7::1)(8::0)(9::8) 8
Cth-2 (5::2)(6::1)(7::0)(9::7) 7
Cth-3 (5::1)(6::0)(8::7)(9::6) 6
Cth-4 (5::0)(8::6)(9::5) 5
Cth-5 (7::6)(8::5) 4
Cth-6 (7::5) 3
Cth-7 (6::5) 2

Опять же, это звучит как куча всего лишнего, но это “проще” чем кажется.

Питчи слева упорядочены от самой высокой до самой низкой. Тональность, указанная справа, является эзотерической, никогда явно не встречается в корпусе ГИКК, но тем не менее представляет собой “очевидную” логику, лежащую в основе питча. Тональность выводится из того же сложения врат, которое использовалось для определения питча карт Декаданса, но сводится к однозначному числу (например, 6::5 соответствует 6+5=11, и, следовательно, 1+1=2, что делает его тональность 2). Затем полярность-питч карт Декаданса используется для определения того, имеет ли карта питч “Cth” или “Ana”, где (-) питч означает Cth, а (+) питч означает Ana. Девять демонов, которых нет среди 36 карт, получают свой питч другим способом. Во-первых, все сизигические демоны имеют нулевой питч, соответствующий тональности 9, который существует только для демонов с нулевым питчем. Оставшиеся четыре поляризованы по их Net-Span, при этом любая, содержащая 3, является Ana, и любая, содержащая 6, – Cth, поскольку 3 является “светлой” стороной 4 опоры, а 6 “тёмной”. В тональности питча в каждом спектре располагаются от самых высоких до самых низких.
*(6::2) формально указано ровно один раз как соответствующая Cth-2, но это явно опечатка, поскольку она нарушает единственную числовую закономерность, которой следуют питч и тональность, и, соответственно, нарушает симметрию графика питча.

Определение ритуала.

Ритуал является старшим (Mj), если он следует порядку Net-Span (номер зоны демона), или малым (Mn), если он выполняется в противоположном порядке по Net-Span (т.е., если у демона Net-Span 2::1, и ритуал проходит из зоны 1 в зону 2, вместо зоны 2 в зону 1). Номер ритуала определяется возможным путём через Нумограм, который может проходить вдоль основных или второстепенных потоков, или через сизигию, а две конечные цифры соответствуеют цифрам Net-Span демона. У хаотических Ксенодемонов нет пронумерованных ритуалов, поскольку нет способа пройти через Нумограм, чтобы перейти из одной зоны в другую.

Пример 1: Lurgo (1::0) имеет один ритуал, Rt-1, который проходит через путь 1890. То есть, начиная с зоны 1 (первая зона которую Lurgo соединяет), мы заметим, что зона 1 стоит попарно с зоной 8, и зона 8 переходит в зону 9 через малый поток, 36. Последовательно, зона 9 в паре с зоной 0, оставляя нас в правильном назначении, зоне 0.

Пример 2: Ixix (3::0) не имеет пронумерованных ритуалов, так как нет потоков ведущих из зоны 3 в зону 0 без попятного движения по малому потоку Нумограма, что невозможно.

Пример 3: Doogu (2::1) имеет младший ритуал с номером 1872. Это связано с тем, что возможно перемещение из зоны 1 в зону 8 (через сизигию), затем в зону 7 (через основной поток), затем в 2 (через сизигию), связывая зону 1 и зону 2 – это младший ритуал, поскольку он проходит в обратном порядке по отношение к зонам Net-Spand Doogu (2::1). Второй ритуал Doogu, номер 271, является старшим, поскольку он проходит от зоны 2 к зоне 7 через сизигию, затем от 7 к 1 через малый поток. Третий и последний ритуал, номер 27541, тоже является старшим и протекает от сизигии 2-7 через основной поток в 5, и от сизигии 5-4 через основной поток в зону 1.

Заключение.

Теперь вы должны понимать, почему демонология ГИКК именно такая, по крайней мере, с точки зрения цифр. Похоже, что в именах или ритуальных описаниях демонов, перечисленных ГИКК, практически нет закономерностей, а все остальные детали демонов, в которых наблюдаются закономерности, достаточно очевидны, чтобы ГИКК уже официально объяснила их в своих трудах. В следуюший раз мы рассмотрим возможность обобщения этих правил для применения к бесконечному множеству альтернативных Нумограм, если это вообще возможно. А пока поддерживайте гениальность с Nickland™: официальным метамфетаминовым брэндом серии Genius™.

Приложение А: Демонические деканы.

36 карт Декаданса имеют такое же количество, как и деканы Зодиака*. Само по себе это было бы простым совпадением, если бы не утверждение ГИКК о том, что 12 циклических Хронодемонов связаны с 12 знаками зодиака, а масти игральных карт исторически ассциируются с элементами. То есть, масть крести происходит от жезлов таро и, следовательно, связана с огнём. Аналогично, бубны связаны с землёй, червы – с водой, а пики – с воздухом. Тот факт, что демоны также встречаются в каждой масти группами по три, указывает на общую структуру деканов.

Декан в астрологии — подразделение знака зодиака на три равные части по 10 градусов каждая. В полном зодиакальном круге находятся 36 деканов.

Поскольку каждый циклический Хронодемон связан с определённым знаком зодиака, мы видим, что каждая тройка демонов в масти соответствует трём разным знакам. В масти крести (огонь) это будут овен, лев и стрелец. Эти знаки имеют три типа: кардинальный, фиксированный и изменчивый, где овен – кардинальный, и, следовательно, первый в своей тройке, а стрелец – изменчивый, и, следовательно, последний в своей тройке (эти тройки не связаны с общим порядком зодиака, а только внутри каждой стихии). Учитывая это, мы можем связать демонов-карт с соответствующими деканами.

Первая карта крести соответствует первому декану овна, вторая карта крести первому декану льва, а третья карта крести первому декану стрельца. Четвёртая карта крести соответствует второму декану овна, пятая карта крести второму декану стрельца и так далее. Порядок карт червей будет следующим: рак, скорпион, рыбы; порядок карт пик: весы, водолей, близнецы; порядок карт бубен: козерог, телец, дева.

Четыре хаотических Хронодемона (эзотерические королевы) отсылают к элементарным корням, где королева червей – это корень воды, королева крести – корень огня и т.д. В трудах ГИКК достаточно явного влияния Алистера Кроули, чтобы предположить, что Декаданс по сути является альтернативной рационализацией нумерованных карт таро Тота Кроули, которая следует очень похожим схемам. Основое различие между этими двумя системами заключается в том, что деканы применяются к нумерованным картам от 2 до 10 в колоде Кроули, в отличие от 1-9, как в Декадансе. Аналогично, королевы (0-ли) по-видимому, являются элементарными корнями Декаданса, в то время как тузы являются элементарными корнями в колоде таро Кроули.

Один из факторов, указывающих на случайность этой связи декан-демонов, – это ассоциация зон с планетами. Если принять во внимание планетарные соответствия каждой зоны (0=Солнце, 1=Меркурий, 2=Венера, 3=Земля… 9=Плутон), то приписывание деканов демонам становится сомнительным, поскольку деканы традиционно содержат только семь “классических сфер”, а “модернизированные” планетарные атрибуции деканов никак не согласуются с демоническими атрибуциями планет. Тем не менее демоны являются честью механизма генерации совпадений оригинальной Нумограмы, и поэтому замечание чего-то, что может быть “простым” совпадением, вполне соответствует первоначальному духу создания ГИКК.

Приложение В: Частичное определение демонических имён.

Имена демонов зачастую случайны, но их исток в текстах ГИКК частично объясним через фонетические аспекты зон, соединённых конкретным демоном. Согласно ГИКК, зона 0 соответствует звуку “eiaoung”, зона 1 – “gl”, зона 2 – “dt”, зона 3 – “zx”, зона 4 – “skr”, зона 5 – “ktt”, зона 6 – “tch”, зона 7 – “pb”, зона 8 – “mnm”, и зона 9 – “tn”.

Эти псевдофонемы не совсем точно соответствуют демоническим именам, поскольку демонические имена частично основаны на этих ассоцияциях, но также модицированы для благозвучия. Это видно, например, в имени (9::8), Ummnu, которое, согласно фонемным связям зоны, должно быть “tn” + “mnm”. “Tnmnm” довольно близко к “Ummnu”, если предположить добавление гласных, но “Ummnu” явно более благозвучно, чем “Tnmnm”. Другой пример – имя (5::2), Kuttadid, которое правильно пишет как “ktt” + “dt”, что имеет более прямое сходство с Kuttadid: “kttdt” с добавлением гласных становится “kuttadit”, что на один звук отличается Kuttadid, а звуки “t” и “d” фонетически достаточно похожи, чтобы это можно было принять за англизацию языка “Мунуме”
.
*ориг. “Munumese”. Утраченный десятичный язык Mu Nma**, частично реконструированный Эхидной Стиллвелл, дополнительно проанализированный Хаимом Горовицем и широко используемый в различных направлениях ктулхуидской каббалы.
** Nma (или N’Ma) – Юго-Восточноазиатская культурная матрица, предположительно зародившаяся в цивилизации Му и сохранявшая практики лемурийского демонизма и колдовства времени, пока не была разрушена извержением Кракатау в 1883 году. Нма состояли из настоящих племен (трехчастных подгрупп): Му, Диб и Так, связанных треугольной циклической системой родства. Древние культуры южного Китая и дравидов имеют много общих черт с культурой Нма, что предполагает общий источник (или альтернативный принцип конвергенции). [Возможная этимология: «Народ Номо»].

Попытка расширения демонологии ГИКК

Добро пожаловать, Гении, что читали первую и вторую часть на третью, и оказались либо мазохистами, либо достаточно Гениальными, чтобы подумать: “Да, я бы хотел прочитать третью часть этой словесной сумятицы”. Что ж, тогда наполняйте свои трубки для мета и давайте попробуем.

Наименование демонов и любой возможный Нумограм.

Если вы читали первую и вторую части (если нет, то исправьте это), тогда вы поймёте эту часть довольно легко. Всё, что вам нужно сделать, так это создать подходящий демонический звук, отсылающий к каждой зоне любого Нумограма, который вам доведётся использовать. Если в нём 12 зон, сделайте 12 демонических звуков и обозначьте их для каждой зоны.

После этого происхождение имён идёт просто: демон с Net-Span 12::0, например, будет иметь звуки, соответствующие 0 и 12. То есть, если 0 соответствует звуку “xth”, а 12 – звуку “nlghth”, то эти два звука складываются в “Xthnlghth”, после этого происходит редактирование для благозвучия, и получается имя демона, соответствующее Net-Span 0::12. Например, мы можем превратить “Xthnlghth” в “Xathnalgaheth”, поскольку это хотя бы произносимо, и на этом закончить.

Сколько демонов?

Каждый Нумограм имеет своё количество демонов в себе. Оригинальный десятеричный Нумограм содержит 45 демонов, но почему? Всё просто – возьмите треугольное число зоны с самым большим числом, и вы получите тотальное число демонов. Например, в оригинальном Нумограме самое больше число у зоны 9, и девятое треугольное число – 45. Для двенадцатеричного Нумограма будет 66 демонов, для восьмеричного будет 28.

Типы демонов.

В больших Нумограмах вы можете столкнуться с экзотическими регионами. Plex регион и Warp регион всегда единичны, но Torque регион иногда множится. Например, в двадцативосьмеричном Нумограме есть 2 отдельных Torque. Это приводит к появлению новых типов демонов, или нет. То есть, вы можете ограничить Амфидемонов двумя типами: Plex-Амфидемон и Warp-Амфидемон, или же вы можете дополнительно разделить их на Plex-Torque-1-Амфидемонов, Warp-Torque-2-Амфидемонов, Plex-Torque-2-Амфидемонов и Warp-Torque-1-Амфидемонов в случае разделения Torque регионов. Схоже с циклическими Хронодемонами – они могут быть просто циклическими Хронодемонами, но также и циклическими Torque-1 Хронодемонами, или циклическими Torque-2 Хронодемонами. Любые демоны связанные с Torque регионом(-ами) могут быть поделены таким способом, или же остаться с оригинальныи обозначениями.

Питчи.

Демонические питчи соответствуют тональности, образованной путём уменьшения суммы обеих цифр в диапазоне Net-Span демона (см. вторую часть). Существует всего три строгих классификации, которые будут применяться ко всем демонам во всех Нумограмах. Первое правило заключается в том, что любые демоны, Net-Span которых уменьшается до числа зоны с наибольшим номером (всегда количество зон минус один), будут иметь питч Null-0. Аналогично, демоны с Net-Span, который в сумме даёт 1, будут иметь питч Ana-1, а демоны, чей Net-Spand в сумме дающий число меньше нуля, будут иметь питч Cth-1. Число Ana питча растёт по мере возрастания уменьшения суммы, а число питча Cth увеличивается по мере убывания уменьшения суммы. Уменьшения суммы, за исключением указанных исключений, будут неравномерно распределены между питчами Cth и Ana. Поскольку точное определение питча зависит от атрибуции демонами Субдекадансных периодов, нам необходимо сначала разобраться с этой путаницей.

Произвольный Субдекаданс.

Расширение Субдекаданса с альтернативными Нумограмами, это, мягко говоря, адский ёбаный бардак. Сперва, обратите внимание, что все пары сизигических зон на любом Нумограме представляют собой “опору”. Используйте это для определения количества опор, которое также является базовым числом Нумограма, делённым на 2. Поскольку у вас будет переменное количество опор и демонов, и количество демонов с соответствующими типами будет разным, вам потребуется создать совершенно новую карточную игру с гораздо большим количеством карт, соответствующих всем подтипам циклических Хронодемонов, всем подтипам Warp-Амфидемонов, и всем подтипам Plex-Амфидемонов, с которыми вы можете столкнуться. Поскольку их количество будет переменным, вам потребуется переменное количество карт в вашей гипотетической игре. “Крючок” будет определять тип ритуала, а тип питча будет определяться соотношением между двумя картами, которые имеют этот тип ритуала и позиция (см. вторую часть). Обобщение этих правил не облегчается примерами, поскольку каждый Нумограм будет иметь уникальную конфигурацию своей версии Субдекаданса, в целом следуя одним и тем же правилам. Поскольку примеры не будут полезны, я их не приведу. Последнее правило, которое, вероятно, действует для всех версий Субдекаданса, заключается в том, что существует четыре масти, и порядок типов демонов внутри каждой масти следующий: циклический Хронодемон, Warp-Амфидемон, Plex-Амфидемон. (См. вторую часть). Это, к сожалению, означает, что нет общего правила, которое мы можем использовать для определения питч-полярности демонов, которые могут иметь Ana или Cth питч, вам просто следует проверять это индивидуально, используя правила из второй части к вашему особенному Нумограми и сетапу Субдекаданса.

Ритуалы и знаки.

Номера ритуалов определяются возможными путями перемещения по Нумограму от первой цифры демонического Net-Span ко второй, а также всеми способами перемещения от второй цифры к первой, не пересекая одну и ту же территорию – перемещение может происходить по основным или малым потокам (см первую и вторую часть). Ритуал, перемещающий от первой цифры ко второй, является основным ритуалом, а ритуал, перемещающий от второй цифры к первой, – второстепенным. Хаотические Ксенодемоны иногда имеют [?] ритуалы, поскольку невозможно перемещаться между Plex и Warp без попятного движения по пути, что запрещено: все ритуалы должны проходить по путям, а не против них. Фактическое содержание описываемого ритуала или знака в значительной степени случайно. Мы можем исправить это, просто заявив, что каждая зона должна быть связана с несколькими расплывчатыми знаками, и что эти знаки каждой зоны, используемые в номере ритуала, должны способствовать описанию ритуала. Вопрос в том, являются ли они ритуалами или знаками, остаётся произвольным.

Неудовлетворительное заключение.

Если вы дошли так далеко, вы, скорее всего, недовольны этим вероятным заключением к сериями, – дело в том, что демонология ГИКК, хотя и полностью применима ко всем возможным Нумограмам, делает это по-разному для каждой из них. Таким образом, после двух месяцев попыток написать этот текст, невозможно создать руководство по обобщению демонологии ГИКК на все Нумограмы, которое не было бы просто повторением рекомендаций из второй части. Если будет интерес к четвёртой части, я с удовольствием её напишу, но если люди не предложат конкретные темы о ГИКК и Нумограмах, которые я смог бы затронуть, и эти темы окажутся приемлимы, это, вероятно, будет последняя, неудовлетворительная запись в Genius™ Essaymatic™ Universe™.
Как использовать Нумограм в магии, или я выиграю, потому что я безумец: Вы тоже можете быть Гением!

Введение.

После длительного перерыва, связанного с поиском финала этой серии эссе, удалением старого аккаунта, созданием нового, а затем игнорированием старого и созданием нового специально для этой публикации, я вернулся с объяснением, требуемым жадными толпами десятков людей, прочитавших всю серию эссе Genius™. Контекст доступен: часть 1, часть 2, часть 3 для тех, кто не слишком запутался в том, о чём я говорю. Эта последняя, пока я не решу иначе, часть серии будет посвящена самому важному вопросу: как использовать Нумограм в качестве новой магической системы, не просто накладывая на неё существующие магические системы? Чтобы ответить на этот вопрос, нам нужно немного обратиться к истории.

Три – это магическая цифра.

Выдержите мой исторический экскурс, и вы поймёте, почему De La Soul или Scoolhouse Rock учили вас, что три – это магическая цифра, и почему это глубокое эзотерическое знание объясняет правильное магическое использования Нумограма.

Пифагор и его матемистическая философия оказали большое влияние на западный эзтеризм, по большей части через влияние на каббализм. Видите ли, Пифагору нравились целые числа, особенно геометрически точные, и самым простым их них было треугольное число. Каббалисты подхватили это и заимствовали тетраксис (треугольник, состоящий из десяти вершин: одна, затем две, затем три, затем четыре, расположенные рядами, в сумме давая десять), поскольку он хорошо соответствовал четырёхбуквенному имени Бога, YHWH. Используя еврейскую гематрию и предполагая, что каждая вершина треугольника является буквой из имени, мы получаем треугольник из букв с числовыми значениями – Y, YH, YHW, YHWH, в сумме 72 в этой системе, число, имеющее некоторое религиозное значение. Это заимствование, в свою очередь, повлияло на создание другой диаграммы – древа жизни, на которой основан оригинальный Нумограм.

Древо жизни, как видно, имеет ту же логику, хотя и с расширенным обоснованием. Древо жизни состоит из 10 сефирот (сфер) и путей между ними, сгруппированных интересным образом. Верхнее сефирота одинока, то есть одна. Затем идёт ряд из двух сефирот. Далее на диаграмме идут две в ряд и ещё одна внизу, то есть треугольник, и тройка. Наконец, есть три в треугольнике и одна точка в центре, то есть четвёрка. Примечательно, что эта группа из четырёх расположена правильно, чтобы представлять собой диаграмму тетраэдра, простейшей трёхмерной фигуры. Таким образом, две логики в совокупности объясняют структуру сефирот: во-первых, пифагорейская логика которая гласит, что десять элементов расположены в базовой последовательности, и, во-вторых, измерительная логика, которая гласит, что эти фигуры следует располагать в простейшие формы с возрастающей размерностью – одна точка с нулевым измерением, затем две, одномерная линия, затем три, двумерный треугольник, и затем четыре, трёхмерный тетраэдр. Следует отметить, что обе эти логики сводятся к трём сторонам треугольника, согласно пифагорейской логике, и к трём измерениями для конечной фигуры, согласно измерительной.

Какое отношение это имеет к Нумограму, помимо исторического интереса? Оказывается, довольно большое. Нумограм основан на собственной треугольной логике. Это наиболее очевидно в малых путях, которые представляют собой треугольные числа, но это также видно в трёх других важных особенностях: структуре Plex, структуре Warp и “железном законе шести”.

Структура Plex – это зона 0 и зона 9 Нумограма, поскольку обе зоны делятся на три. Структура Warp – зона 6 и зона 3, обе также делятся на три. Toque составляет оставшиеся шесть зон, расположенных в треугольнике сизигических пар. Таким образом, все три области Нумограма так или иначе связаны с цифрой 3. Причина этого – “железный закон шести”, сформулированный в трудах ГИКК. То есть, если посмотреть на степени двойки от 21=2 до 26=64 и сложить цифры в каждой их них, то есть 2→2, 4→4, 8→8, 16→7, 32→5, 64→10→1, то можно обнаружить паттерн (2, 4, 8, 7, 5, 1), который повторяется с дальнейшими степенями двойки (например, 128→11→2, 256→13→4 и т.д.). Эти числа чудесным образом совпадают с числами, которые находятся в Torque.

Или, вернее, это вовсе не чудо, если вы помните школьные правила делимости и правило, создающее область искажения в Нумограме. Любое число, сумма цифр которого (в десятеричной системе счисления) кратна трём, само является кратным трём. Поскольку степени двойки по определению не могут быть кратны трём, числа, отсутствующие в цикле “железного закона шести”, – это, конечно же, кратные трём и ноль, поскольку сумма положительных чисел, очевидно, никогда не будет равна нулю. Теперь, рассматривая построение Warp, давайте немного вспомним, почему это происходит:

Warp регион не всегда присутствует, но когда он есть, он определяется как пара a:b, удовлетворяющая отношению b=2a. Поскольку b и a должны суммироваться до наибольшего числа в системе (9 в десятеричной, 11 в двенадцатеричной, 7 в восьмеричной и т.д.), это значит, что Warp регион существует только в N-значных системах, так что N=3M+1, где М должно быть нечётным, поскольку Нумограм существует только для чётных чисел. Первые несколько систем удовлетворяющих этому отношению – это четвертичная, десятеричная, шестнадцатеричная, двадцатидвухричная и двадцативосьмеричная системы.
Цитата из первой части

Учитывая, что правило создания Warp N=3M+1, и N всегда будет на единицу больше, чем зона с наибольшим числом, это означает, что Warp регион встречается только в Нумограмах, где число на единицу больше, чем кратное трём, или, с тем же смыслом, в Нумограме, где наибольшая цифра кратна трём. Поскольку наибольшая цифра и ноль всегда образуют пару, формирующую Plex регион, Plex в Нумограмах, имеющий Warp, всегда будет состоять из двух кратных трём – 0 и региона с наибольшей цифрой. Теперь обратите внимание, что Warp регион в диаграммах НЕ всегда содержит два числа кратных трём, например, в шестнадцатеричной диаграмме Warp регион состоит из шестнадцатеричного представления чисел, представленных в десятеричной системе как 5 и 10. Только те Нумограмы, которые построены из оснований, соответствующих форме N=9M+1, поскольку а=M/3 (и, следовательно, b=2a), будут кратны трём в этих основаниях.

Ловкость рук.

Все эти тройки, несомненно, имеют какое-то значение. Иллюминаты, может быть? Почему такая одержимость треугольниками? Это Святая Троица, подтверждённая нашими божественным и логичными математическими рассуждениями? Может быть, Тридеви*? Несомненно, есть какая-то причина, по которой Нумограм состоит из трёх областей, с малыми путями, образованными треугольными числами, с двумя регионами, содержащими только кратные трём, и одним, не содержащим картынх трём, и всё это основано на законах и истории, связанных с цифрой 3?
*Тридеви — термин в индуизме, объединяющий трёх богинь, трёх супруг богов Тримурти: Брахмы, Вишну и Шивы.

Или же это может быть вполне обычным следствием выбора десятеричной системы в качестве основания, а также исторически обоснованным решением использовать малые пути с треугольными числами. Почему же тогда это кажется таким чертовски значимым?

Нумограм – поистине магический инструмент по той же причина, что и любая по-настоящему магическая система: она создаёт смысл и значение из ничего. Обычный скептик, видя произвольные правила, использованные для построения Нумограмы, смеётся, отмахиваясь от неё как от бессмыслицы, в то время как маг, видя произвольную конструкцию, чувствует притяжения Нумограмы и приходит к выводу, что этот произвол имеет значение в магическом смысле.

Если разложить любую систему на составляющие, она окажется произвольной, и это совершенно очевидно. Нумограм сопротивляется собственному незамедлительному осуждению как шизофренической тарабарщины, основанной на математике – математике, языке, который мы сами создали, настолько точном и логически строгом, что мы обманули себя, заставив поверить в его реальность в каком-то смысле, как будто уравнения 1+1=2 вычисляется вселенной каждый раз, когда вы складываете камень и другой камень в груду.

Нумограм – это всего лишь возвышенная хаотическая магия, связывающая проклятие, привлекающее внимание любопытных учеников своей невероятной произвольностью в логике, но при этом обладающее сильным внешним смыслом. Так функционирует всякая хорошая хаотическая магия, основанная на внимании множества людей. Взгляните на политику! Слой за слоем иллюзий и обманов, кульминацией который являются различные системы, совершенно произвольные в своей логике, но обладающие ужасающим смыслом.

Так как всё-таки это использовать?

Накладывать на Нумограм другие магические системы кажется бессмысленным, потому что так и есть. И это также правильный способ использовать Нумограм. Vexsys, по сути, объясняет это в “Time Sorcery” другими словами. (Или теми же самыми словами, понятия не имею, я не дочитал до конца). В более широком смысле, и я думаю, с большей значимостью, создание и изучение Нумограма учит нас, как строить собственные искусственные ментальные конструкции для магических целей – сталкивая произвольные вещи вместе, пока мы немного не сойдём с ума и не подумаем, что открыли что-то реальное. А после этого, выполнив свою задачу, мы помним, что всё это только что выдумали. Истинное значение Нумограма заключается в его силе воздействия и устойчивости, он кажется настолько невероятно значимым, что по крайней мере один из её создателей поддался сильному безумию по этому поводу. Или же он может просто усиливать её мифологическую ауру, притворяясь, что поддался её притяжению, подобно лавкрафтианскому герою. В любом случае, изучайте Нумограм, чтобы понять, как его использовать, если хотите, наложив на неё другую магическую систему, но изучайте её вдвойне усерднее, чтобы понять её истинное предназначение, раскрыть, как ваш разум может создавать тайны и магическую силу из ничего.

***